STARTING AN ANTI-TNF MEDICINE TO TREAT CROHN’S DISEASE IN PEDIATRIC PATIENTS

Starting an anti-TNF medication as a treatment for Crohn’s disease is a big decision. The following information is provided to give you an overview of the common medications and key findings from some recent research. As you review the information, think about your own hopes for treatment and how it might fit best into your life so that you can share these with your clinician.

Think about…

As you review the information below and talk with your clinician, consider what may be most important to you and how the options may impact your life.

  1. Your goals with treatment

  2. Activities that are important to you

  3. Your schedule

  4. Your insurance and what they are likely to cover

  5. Your sexual activity as well as current and future reproductive health

  6. The role of alcohol, marijuana, and other drugs in your life

Infliximab

  • Administered by infusion typically at a clinic or infusion center

  • Blood draws allow for treatment monitoring and adjustment of dosage and frequency. Blood can be drawn at the clinic or infusion center, saving extra trips.

  • Anti-TNF medication and a biologic

  • Common brand names include Remicade®

  • Biosimilars are available

Adalimumab

  • Administered by injection at home

  • Blood draws allow for treatment monitoring and adjustment of dosage and frequency. Blood draws must be done at a clinical facility, which may result in additional trips.

  • Anti-TNF medication and a biologic

  • Common brand names include Humira®

  • Biosimilars are available

Methotrexate

  • Administered by tablet or injection at home

  • May be prescribed in addition to a biologic like Infliximab or Adalimumab

  • Primary side effect is nausea. Can be severe enough for patients to stop the medication.

  • Can lead to birth defects during pregnancy so doctors are cautious about prescribing it to people who can get pregnant. Birth control would be strongly recommended or required.

  • At much higher doses, methotrexate is also used to treat cancer.

Relevant Research Findings

COMBINE trial

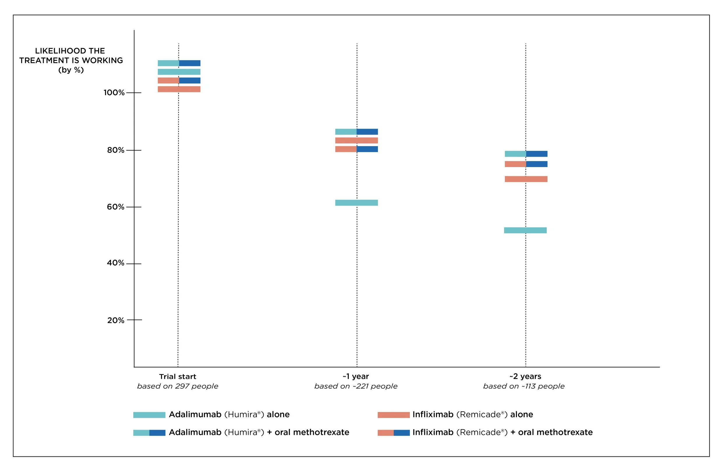
In the COMBINE study, the research team wanted to learn whether anti-TNF medicines (infliximab and adalimumab) and methotrexate work better together than anti-TNF medicines alone in patients starting anti-TNF treatment for the first time. The choice of which anti-TNF medicine was used was the choice of the doctor.

Key Findings

  • After one year, patients starting anti-TNF therapy who received an anti-TNF medicine plus methotrexate and patients who received an anti-TNF medicine alone had similar results.

  • Infliximab and infliximab + methotrexate worked equally well.

  • Adalimumab + methotrexate worked for longer than adalimumab alone.

COMBINE trial details

The study team compared:

  • Adalimumab (Humira®) alone

  • Adalimumab (Humira®) + oral methotrexate

  • Infliximab (Remicade®) alone

  • Infliximab (Remicade®) + oral methotrexate

They looked at how long it took for the medications to stop working. A medication was ruled to not be working if the patient...

  • had uncontrolled symptoms

  • had a hospital stay

  • had to use a steroid

  • stopped the medicine because it wasn’t working or due to side effects